CMS basketball scores from November 18th
Boys Basketball against Iuka:
Varsity : CMS 35, Iuka 32
JV: CMS 38, Iuka 22
Girls Basketball against St. Joe:
Varsity: CMS 32, St. Joe 23
Boys Basketball against Iuka:
Varsity : CMS 35, Iuka 32
JV: CMS 38, Iuka 22
Girls Basketball against St. Joe:
Varsity: CMS 32, St. Joe 23
Wayne City Jr. High Holiday Tournament

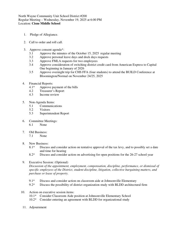
Here is the North Wayne School Board agenda for 11/19/2025.

Congratulations to the CMS girls and boys basketball teams this weekend. Both teams had a successful showing at the Summersville Shootout.
CMS girls basketball team beat Rome with a score of 50- 32 and Bella Lewis was named Player of the Game.
CMS boys basketball team beat Albers 31- 24 and Austin Ellis was named Player of the Game.
CMS girls basketball team beat Rome with a score of 50- 32 and Bella Lewis was named Player of the Game.
CMS boys basketball team beat Albers 31- 24 and Austin Ellis was named Player of the Game.




November 13th was Chalk the Walk day for CMS students. After a discussion on kindness, students spent some time decorating the front sidewalk with words of encouragement with Mrs. Vinson.










CHS hosted a successful College Fair on November 13th. Representatives from different colleges and universities as well as military branches were able to attend and to talk to our students. We would like to thank those taking the time out of their day to meet with our students!





Kadence Hyder, Hagen Howard, and Ava Greifzu have been named Illinois State Scholars. The Illinois Student Assistance Commission’s State Scholar program recognizes Illinois high school students for superior academic achievement. Illinois State Scholars represent approximately the top ten percent of high school seniors. Honorees are chosen based on a combination of ACT test scores and class rank at the end of their junior year of high school.

Events for next week in North Wayne! Please make note, CHS girls basketball co-ops with Wayne City. Games listed as 'vs' will be played at Wayne City unless noted. Also, CMS girls basketball games next week will be varsity only.

CMS Athletics 2026 Cardinal calendar sale has been extended until Nov 25.
Calendars are $20 and will be available before Christmas.
All profit goes back into athletics.
Contact a CMS Athlete or call the Cisne Middle School office at (618)673-2156 or email jbaker@northwayne.net.
You can also order one at any CMS game before Thanksgiving.
Thank you for your support of our children.
Calendars are $20 and will be available before Christmas.
All profit goes back into athletics.
Contact a CMS Athlete or call the Cisne Middle School office at (618)673-2156 or email jbaker@northwayne.net.
You can also order one at any CMS game before Thanksgiving.
Thank you for your support of our children.

Congratulations to Kaleya Porter, Ava Greifzu, and Peyton Cordill on their 1st team selections along with Kassie Atwood for being selected as an honorable mention.

On Wednesday, November 5th Cisne FFA members (Back row Left to Right) Ashtyn Smith, Ava Lewis, Emery Frederick, Esme Krupp, Addison Owens, Kenzie Alvis, Aidyn Dickey, Reese Beckel (Front row) Allison Shannon and Lillian McCarthy participated in the Section 23 Horse Judging Career Development Event hosted at the White Squirrel Saddle Club in Olney . The team received 2nd place overall. Aidyn Dickey finished as the 3rd place overall individual. Seventy-seven students representing twelve schools participated in the event. Students judged two halter classes, a Ranch Pleasure class and a Horsemanship class.

CMS boys basketball scores against West Salem.
Varsity: Cisne 48, West Salem 37
JV: Cisne 50, West Salem 14.
CMS girls basketball scores against New Hope.
Varsity: Cisne - 25, New Hope - 39
JV: Cisne- 6, New Hope - 38
Varsity: Cisne 48, West Salem 37
JV: Cisne 50, West Salem 14.
CMS girls basketball scores against New Hope.
Varsity: Cisne - 25, New Hope - 39
JV: Cisne- 6, New Hope - 38
State FFA Treasurer, Kaydance Wooton, (left) is pictured with the Cisne FFA Ag Sales team of (left to right) Hagen Howard, Ava Greifzu, Antenella Cline, and Kadence Hyder. The team finished in 5th place overall and had the second highest Team Questions score at the State Ag Sales Leadership Development Event hosted by Illinois State University on November 8, 2025. Fifty-six students representing fourteen schools participated in the event. The 2025 Ag Sales product is a Rimol Greenhouse package with options. The competition required members to take a written quiz, sell a greenhouse package, and complete a team activity.

Next Week in North Wayne!

CMS boys basketball scores against Fairfield.
JV: Cisne 39, Fairfield 6
Varsity: Cisne 50, Fairfield 15.
JV: Cisne 39, Fairfield 6
Varsity: Cisne 50, Fairfield 15.
We are aware that the federal government situation involving the (food assistance) SNAP program will have an impact on several of our North Wayne families.
With that being said, we would like to help fill the void for these families. We are still deciding on how and what this will look like. Before we can put anything together, we need to get an accurate count of how many families we have in need. We are simply asking you to send us an email if your family is in need of food assistance at this time. All responses will be discrete and confidential. Please email the principal at your child's building with this information.
Mrs. Bowen - Mt. Erie Elementary (bbowen@northwayne.net) or call the office 854-2611
Mrs. Riley - Johnsonville Elementary (lriley@northwayne.net) or call the office 673-3044
Mr. Bowen - CMS and CHS (kbowen@northwayne.net) or call CMS 673-2156, CHS 673-2154
We hope to have a plan in place by the end of this week.
Thank you and take care,
--
Adam Ellis
Superintendent
North Wayne CUSD #200
With that being said, we would like to help fill the void for these families. We are still deciding on how and what this will look like. Before we can put anything together, we need to get an accurate count of how many families we have in need. We are simply asking you to send us an email if your family is in need of food assistance at this time. All responses will be discrete and confidential. Please email the principal at your child's building with this information.
Mrs. Bowen - Mt. Erie Elementary (bbowen@northwayne.net) or call the office 854-2611
Mrs. Riley - Johnsonville Elementary (lriley@northwayne.net) or call the office 673-3044
Mr. Bowen - CMS and CHS (kbowen@northwayne.net) or call CMS 673-2156, CHS 673-2154
We hope to have a plan in place by the end of this week.
Thank you and take care,
--
Adam Ellis
Superintendent
North Wayne CUSD #200
The CMS Athletic Department will be taking orders for the 2026 Cardinals calendar.
**Please call the CMS office (673-2156) or contact your favorite CMS athlete to order a calendar.
**Orders are due by November 14.
**Please call the CMS office (673-2156) or contact your favorite CMS athlete to order a calendar.
**Orders are due by November 14.

CMS girls basketball scores against Jasper:
JV: Cisne 6 - Jasper 28
Varsity: Cisne 25- Jasper 20
JV: Cisne 6 - Jasper 28
Varsity: Cisne 25- Jasper 20
CMS boys basketball scores against South Central
JV: Cisne 36, South Central 17.
Varsity: Cisne 39, South Central 12.
JV: Cisne 36, South Central 17.
Varsity: Cisne 39, South Central 12.
On Wednesday, October 15, La Fuente's food truck served CHS students lunch for CHS Appreciation Day. Students received a free taco from La Fuente's along with free chips and salsa, and soda courtesy of Mr. Bowen and Mr. Ellis. Students were able to pre-order additional items for lunch. Everyone enjoyed this special treat! Thank you, La Fuente's, Mr. Ellis, and Mr. Bowen!
