CHS Boys Basketball scores from last nights game at the Wayne City Tournament
Cisne 62, Thompsonville 66
Cisne 62, Thompsonville 66
Congratulations to the CMS 8th grade girl basketball players who were honored on Tuesday evening. Cisne won the game over Iuka 49-13. The girls then celebrated their final regular season home game with family and friends. Way to go girls!


CHS students who sign in will get free admittance for tonight's game!

Don't forget!

CMS basketball scores.
Girls Basketball-
Varsity: Cisne 49, Iuka 13
Boys Basketball -
Varsity: Cisne 56, Geff 28
JV: Cisne 51, Geff 30.
Girls Basketball-
Varsity: Cisne 49, Iuka 13
Boys Basketball -
Varsity: Cisne 56, Geff 28
JV: Cisne 51, Geff 30.
Basketball Scores
CMS Girls vs St. Mary's/Allendale
CMS- 47, St. Mary's- 17
CMS Boys vs. St Joe Olney
JV: CMS- 41, St. Joe- 19
Varsity: CMS- 35, St Joe- 29
CHS Boys vs Edwards County
Varsity: CHS - 57, Edwards County - 60
CMS Girls vs St. Mary's/Allendale
CMS- 47, St. Mary's- 17
CMS Boys vs. St Joe Olney
JV: CMS- 41, St. Joe- 19
Varsity: CMS- 35, St Joe- 29
CHS Boys vs Edwards County
Varsity: CHS - 57, Edwards County - 60
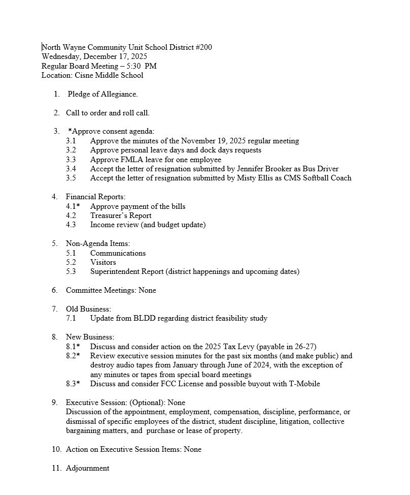
Here is the Board agenda for the meeting to be held 12/17/25. The meeting is at CMS starting at 5:30.

On Saturday evening, Cisne High School crowned Ava Greifzu as Homecoming Queen and Hagen Howard as Homecoming King. The homecoming court included senior queen candidates Ashley Cook, Ava Greifzu and Kaleya Porter. King candidates were Noah Atkins, Brody Bowles, and Hagen Howard. Junior attendants were Kenzie Alvis, Emery Frederick, Deegan Riley and Maurice Hearle. Sophomore candidates were Rebecca King, Ashtyn Smith, Erick Atwood, and Tucker Bowen. Freshman attendants were Lillian McCarthy, Kassie Atwood, Daiton Jordan and Nate Spitzner. Students enjoyed an evening Under the Sea.
Congratulations to the CMS 6th grade Bullets for winning the championship at the Fairfield tournament.

Next Week in North Wayne!

CMS boys basketball scores against Allendale
JV: Cisne 43, Allendale 14
Varsity: Cisne 58, Allendale 34
JV: Cisne 43, Allendale 14
Varsity: Cisne 58, Allendale 34
Congrats to the Lady Bullets for claiming 3rd place in the WEAA basketball tournament. Way to go players and coaches.

Basketball Scores
CMS Girls Basketball WEAA Tournament
Cisne 30, St. Joe 38
CMS - Boys Basketball against Jasper
JV : Cisne 30, Jasper 24
Varsity: Cisne 33, Jasper 48
CHS - Boys Basketball against Wayne City
Cisne- 60 Wayne City - 85
CMS boys basketball scores against Grayville
JV- Cisne 50, Grayville 12
Varsity- Cisne 71, Grayville 31.
JV- Cisne 50, Grayville 12
Varsity- Cisne 71, Grayville 31.
The game against Oblong/Palestine/Hutsonville Friday, December 12
has been cancelled and will not be made up.
has been cancelled and will not be made up.
Christmas programs in North Wayne start this week!

Ava Greifzu recently signed her letter of intent to play volleyball at St. Mary’s of the Woods College(Terre Haute).
Front row are Ava and her parents Bryan & Angie Greifzu.
Back row are L-R Asst. AD Collin Klingler, CHS Head Coach Samantha Klingler, and Athletic Director Jeff Baker.
St. Mary’s coach, Ashley Harris, was unavailable.
Front row are Ava and her parents Bryan & Angie Greifzu.
Back row are L-R Asst. AD Collin Klingler, CHS Head Coach Samantha Klingler, and Athletic Director Jeff Baker.
St. Mary’s coach, Ashley Harris, was unavailable.

Congratulations to Khyia Smith for being to the All Tournament Cheer Team, and to Austin Ellis for being named to the All Tournament Basketball Team at the Wayne City Tournament.
Congratulations to
the CMS Cheerleaders for placing 3rd at the Wayne City Tournament.
Congratulations to
the CMS Cheerleaders for placing 3rd at the Wayne City Tournament.



Congrats to the following county wide hoop shoot winners.
Pyper Lewis and Rhett Ellis each won first in their division and now advance to the next level at Salem in January.
Bella Lewis, Ruth Michels, and Cameron Talbert each took second in their division as well. North Wayne was well represented at Fairfield today!
Congrats to all!
Pyper Lewis and Rhett Ellis each won first in their division and now advance to the next level at Salem in January.
Bella Lewis, Ruth Michels, and Cameron Talbert each took second in their division as well. North Wayne was well represented at Fairfield today!
Congrats to all!


CHS Homecoming Dress Up Days!

